Notice
Recent Posts
Recent Comments
Link
250x250
반응형
| 일 | 월 | 화 | 수 | 목 | 금 | 토 |
|---|---|---|---|---|---|---|
| 1 | 2 | 3 | 4 | |||
| 5 | 6 | 7 | 8 | 9 | 10 | 11 |
| 12 | 13 | 14 | 15 | 16 | 17 | 18 |
| 19 | 20 | 21 | 22 | 23 | 24 | 25 |
| 26 | 27 | 28 | 29 | 30 |
Tags
- 이것이 코딩테스트다
- Deep Learning Specialization
- sklearn
- IRIS
- 코딩테스트
- 시각화
- scikit learn
- Python
- 통계
- 머신러닝
- 자격증
- 회귀분석
- 딥러닝
- ADsP
- Google ML Bootcamp
- 데이터 전처리
- 데이터분석
- SQLD
- 파이썬
- matplotlib
- tableau
- 데이터분석준전문가
- 태블로
- ML
- r
- SQL
- pytorch
- 이코테
- 데이터 분석
- pandas
Archives
- Today
- Total
함께하는 데이터 분석
[Neural Networks and Deep Learning] 4주차 본문
Deep neural network notation

Forward propagation in a deep network

Parameters W[l] and b[l]

Vectorized implementation

Intuition about deep representation

Forward and Backward fuctions

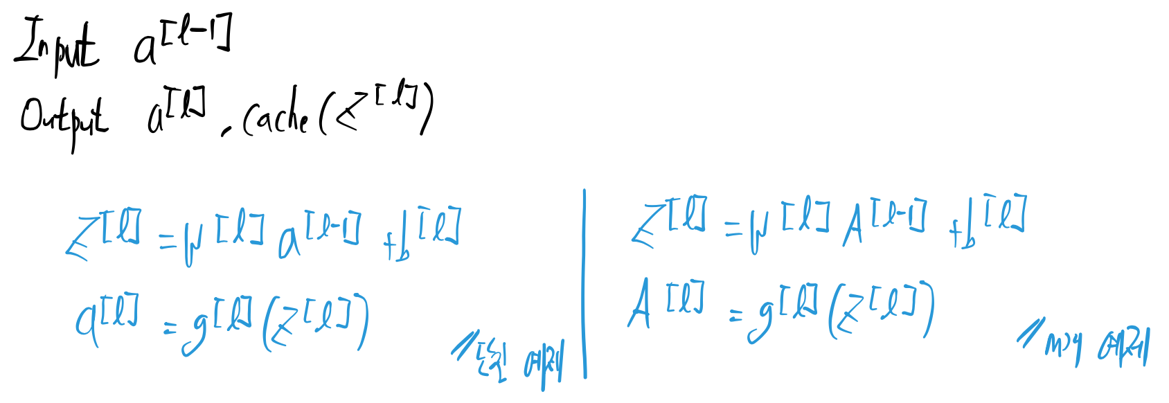
Forward propagation for layer l

Backward propagation for layer l

What are hyperparameters?

728x90
반응형
'부트캠프 > Google ML Bootcamp' 카테고리의 다른 글
| [Neural Networks and Deep Learning] 3주차 (0) | 2023.09.04 |
|---|---|
| [Neural Networks and Deep Learning] 2주차 (0) | 2023.09.01 |
| [Neural Networks and Deep Learning] 1주차 (0) | 2023.08.30 |
| [Google ML Bootcamp] 구글 머신러닝 부트캠프 합격후기 (0) | 2023.08.30 |